药学院拟接收2023级转专业学生名单公示
发布日期:2023-12-08 作者:药学院 来源: 点击:
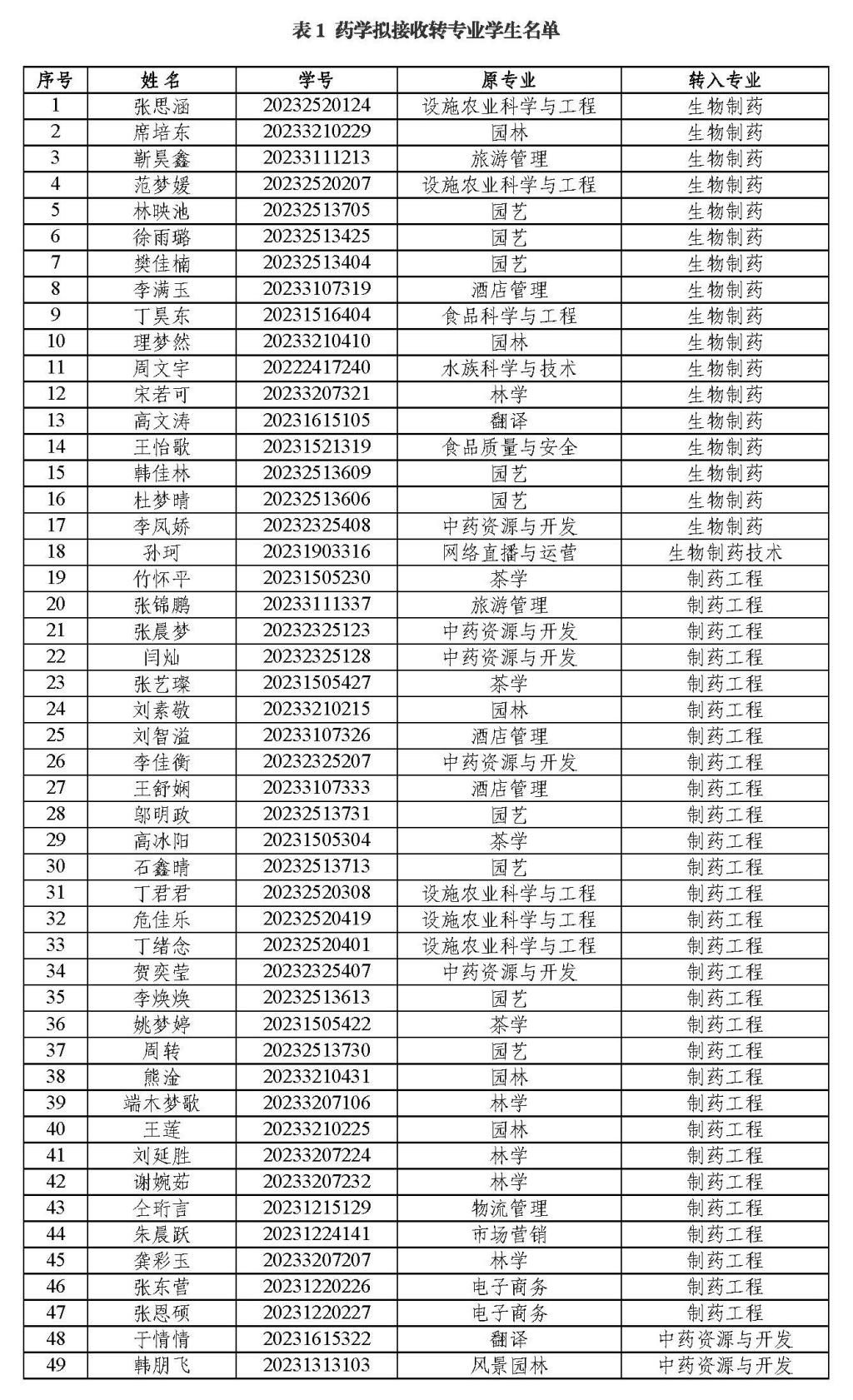
根据《beat365在线平台官网学生转专业管理规定》(信农教〔2019〕14号)、《beat365在线平台官网2023级学生转专业工作方案》要求,按照《药学院2023级学生转专业工作方案》规定,对提出申请转入的49位学生(含2022级学生1人)按照程序进行了考核,经党政联席会议研究决定,拟接收49位学生转入相关专业(见表1),现予以公示。

公示期:2023年12月8日-12月12日
监督电话:0376-6510175
联系人:刘柱明
药学院
2023年12月8日